Studie analysert: Larsen et al (2024). The effects of hip flexion angle on quadriceps femoris muscle hypertrophy in the leg extension exercise.
Introduksjon
Fremside lår som på latin er kalt quadriceps femoris består av fire ulike muskler. Tre av de med navn vastus lateralis, vastus intermedius, og vastus medialis går kun over kneleddet og vastusene sin funksjon er å rette ut kneleddet. Vastusene er derfor rapportert i flere studier og oppnå godt med muskelvekst i flerleddsøvelser som eksempelvis knebøy (Bloomquist et al., 2013; Kubo et al., 2019; Zabaleta-Korta et al., 2021). Den fjerde quadriceps-muskelen heter for rectus femoris, og den både over hofte- og kneleddet. Dens funksjon er derfor å rette ut kneet samt bøye hoften. Siden man i flerleddsøvelser, som knebøy strekker ut både hofte og kne samtidig når man løfter opp stangen vil rectus femoris ikke oppnå mye lengdeforandring, siden den forkortes over kneet mens den forlenges over hoften (Kojic et al., 2022). Dette er trolig årsaken til at leg extension er rapportert å gi mer muskelvekst i rectus femoris enn knebøy (Zabaleta-Korta et al., 2021).
Tidligere publiserte Pedrosa et al. (2022) en studie hvor de sammenlignet muskelvekst i både vastus lateralis og rectus femoris mellom ulike knefleksjons-ROM. En gruppe trente kun nederste del av leg extension mellom 100-65° knefleksjon, en annen gruppe trente med full ROM (100-30°), og den tredje trente kun quadriceps i en innkortet posisjon tilsvarende en rom mellom 65-30° knefleksjon. Funnene fra studien var at gruppen som kun trente delvise repetisjoner mellom 100-65° knefleksjon fikk mer muskelvekst på nedre del av rectus femoris og vastus lateralis enn de andre gruppene. Resultatene illustrerte derfor at quadriceps responderte godt på å bli trent på lengre muskellengder.
Nyligere publiserte en annen forskningsgruppe i 2023 en studie hvor de målte muskelaktivering i nedre, midtre og øvre del av rectus femoris ved bruk av MRI i øvelsen leg extension (Mitsuya et al., 2023). Mer spesifikt undersøkte de effekten av ulike hoftefleksjonsvinkler (40° vs. 80°) på muskelaktivering i rectus femoris. Resultatene fra studien var at å strekke ut hoften mer (40°) ga nesten dobbel muskelaktivering i øvre del av rectus femoris sammenlignet med en mer bøyd hofte (90°). Dette er interessant siden to resultatene fra to tidligere studier indikerer at å måle muskelaktivering ved bruk av MRI til dels kan predikere regional muskelvekst (hvilken del av muskelen som vokser mest) (Wakahara et al., 2017; Wakahara et al., 2013). I tillegg vet vi at siden rectus femoris bidrar til å bøye hoften, at den forlenges mer når man strekker ut hoften, som er tilfellet hvis man stiller setet mer bak/lener seg mer bak i øvelsen leg extension. Og det er en god del evidens på fagfeltet som indikerer at det å trene muskler på lengre muskellengder er fordelaktig når målet er muskelvekst (Kassiano et al., 2022; Ottinger et al., 2023; Wolf et al., 2023).
Derfor kom det nylig ut en studie av undertegnede, hvor målet var å undersøke effekten av 40° vs. 90° hoftefleksjon i øvelsen leg extension på muskelvekst i både vastus lateralis og rectus femoris.
Metode
30 utrente menn ble rekruttert til studien, men kun 22 stykk gjennomførte. Deltakerne trente venstre og høyre fot på ulik måte, som betyr at de fungerte som sin egen kontroll. Mer spesifikt trente de med 40° hoftefleksjon på den ene foten og 90° hoftefleksjon på den andre foten (se figur 1). Knefleksjons-ROM var mellom 110-0° for begge bena, Treningsstudien varte i 12 uker, hvor uke 1 og 12 ble brukt til pre-testing og post-testing av muskeltykkelse i rectus femoris og vastus lateralis. I uke 2-11 trente deltakere 2 ganger i uken med 4 sett pr økt til momentan utmattelse, som vil si at de feilet den siste repetisjonen. Repetisjonsrange som ble brukt var 10-20 repetisjoner, og forskerne økte vekten med 0,25 0,5 kg når deltakerne klarte 20+ repetisjoner på første sett. Muskeltykkelse ble målt med ultralyd, og både nedre og øvre del av vastus lateralis og rectus femoris ble målt.

Figur 1. Viser de ulike vinklende i hofte- og kneleddet som deltakerne trente med i øvelsen leg extension.
Hovedfunn
-
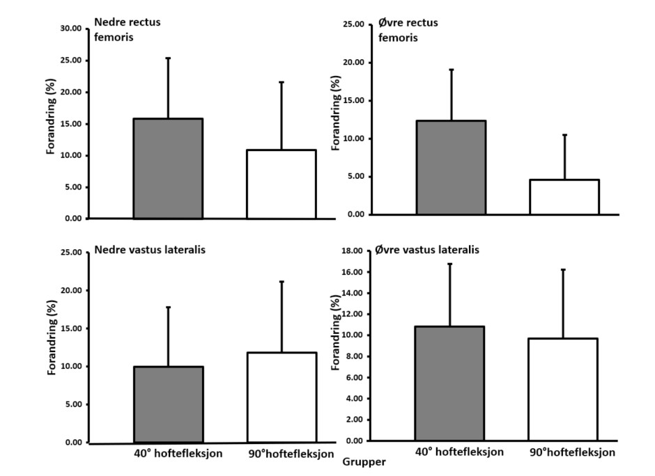
Alle muskler vokste fra pre-test til post-test. Mer spesifikt vokste nedre del av vastus lateralis 9.9% og 11.8% ved 40° og 90° hoftefleksjon. Øvre del av vastus lateralis vokste 10.8% og 9.7% ved 40° og 90° hoftefleksjon. Nedre del av rectus femoris vokste 15.8% og 10.9% ved 40° og 90° hoftefleksjon. Mens øvre del av rectus femoris vokste 12.4% og 4.6% med 40° og 90°.
-
På vastus lateralis tilsvarte dette statistisk sett ca. lik muskelvekst i både øvre og nedre del av vastus lateralis, som betyr at hoftevinkel ikke påvirket muskelveksten (se figur 2).
-
Når deltakerne trente med 40° hoftefleksjon vokste nedre del av rectus femoris ca. 0,64 mm mer, mens den øvre delen vokste ca. 1,1 mm mer. Dette tilsvarte statistisk en ekstrem forskjell i favør 40°-gruppen. Prosentvis tilsvarte dette en absolutt og relativ større forskjell på 7.8% og 169.6% for øvre del av rectus femoris for 40°gruppen sammenlignet med 90°-gruppen., For nedre del tilsvarte det en absolutt og relativ forskjell på 4,9% og 45% for 40°-gruppen sammenlignet med 90°-gruppen.

Figur 2. Viser % endringer i muskelvekst mellom de ulike leg extension-teknikken
Diskusjon
Dette er den første studien som har undersøkt effekten av hoftefleksjonsvinkel på muskelvekst i quadriceps femoris. Hovedfunnet var at øvre og nedre del av rectus femoris vokste mer ved å lene seg bakover/stille setet bak for å få ca. 40° hoftefleksjon. Vastus lateralis responderte ikke forskjellig og fikk ca. lik muskelvekst mellom teknikkene, noe som var forventet siden hoftevinkel ikke skal påvirke muskellengdene på vastus lateralis.
Et interessant funn var at det var øvre del av rectus femoris som ble mest påvirket av å strekke ut hoften mer da det førte til ca 7,8% og 169,6% mer muskelvekst. Dette kan høres ekstremt mye ut, men tilsvarer kun 1,1 mm mer når vi ser på absolutte tall. Likevel vil jeg argumentere for at dette er en meningsfull forskjell for folk flest, da den ekstra kostnaden med å justere setet litt mer bak er minimal. En praktisk ting jeg har notert meg internasjonalt er at flere personer strekker ut hoften på bekostning av knefleksjons-ROM. Om du prøver å strekke ut hoften mer ved å lene deg over leg extension-setet vil du raskt risikere og få mindre knefleksjons-ROM på bekostning av større hofteekstensjon. Dette vil trolig gjøre at muskellengden rectus femoris trenes på blir lik, men at vastus-musklene blir trent på kortere muskellengder som trolig vil gi mindre muskelvekst av de. Dermed netto mindre muskelvekst når du summerer vekst fra alle quadriceps-hodene. Mitt tips i disse situasjonene er å prøve å ta ut litt bevegelse i øvre rygg for det mest sannsynlig vil gjøre at du får litt mer strekk i hoften.
Årsaken til at rectus femoris vokste mer ved 40° hoftefleksjon er trolig at dette gjør at muskelen trenes på en lengre muskellengde. Sarkomer-modelleringer (sarkomer = minste delen av en muskelfiber der aktin og myosin, som er proteintrådene våre trekker seg sammen for å skape bevegelse) har estimert at rectus femoris evner å operere på både den synkende delen, platåregionen, og den stigende delen av lengdespenningsforholdet (Cutts, 1988, 1989). Når man bøyer seg frem og retter ut kneet i leg-extension betyr dette at rectus femoris trolig opererer på den stigende delen av lengdespenningsforholdet. Forenklet forklart betyr dette at muskelen i dette tilfellet ikke evner å skape mye kraft i tillegg til at den ikke nyttiggjør seg fra fordelene det å trene en muskel på lengre muskellengde gir (Goto et al., 2019; Kooistra et al., 2008; Larsen et al.; McMahon et al., 2014). Dette er vesentlig siden det både er evidens for og dermed spekulert at kraften muskelen/sarkomeren opplever, ofte referert til som mekanisk drag, er den viktigste mekanismen for å oppnå muskelvekst (Schoenfeld, 2010; Wackerhage et al., 2019). Når vi i tillegg legger til at øvre del av rectus femoris ikke ser ut til å bli aktivert i særlig grad (Mitsuya et al., 2023), er dette alle potensielle forklaringsmekanismer for hvorfor det å strekke ut hoften i leg extension trolig ga vesentlig mer muskelvekst
Konklusjon og praktisk betydning
Konklusjonen er at det å ha en mer utstrakt hofte (ca 40°) i øvelsen leg extension gir vesentlig mer muskelvekst i rectus femoris, men like mye muskelvekst i vastus lateralis. Praktisk vil dette bety at det å stille ryggsetet bak eller prøve å bøye øvre del av ryggen for å få mer strekk i hoften (uten bekostning av bevegelseslengde i kneleddet) i øvelsen leg extension vil være gunstig når målet er muskelvekst i rectus femoris.
Referanseliste
Bloomquist, K., Langberg, H., Karlsen, S., Madsgaard, S., Boesen, M., & Raastad, T. (2013). Effect of range of motion in heavy load squatting on muscle and tendon adaptations. European journal of applied physiology, 113, 2133-2142.
Cutts, A. (1988). The range of sarcomere lengths in the muscles of the human lower limb. Journal of anatomy, 160, 79.
Cutts, A. (1989). Sarcomere length changes in muscles of the human thigh during walking. Journal of anatomy, 166, 77.
Goto, M., Maeda, C., Hirayama, T., Terada, S., Nirengi, S., Kurosawa, Y., Nagano, A., & Hamaoka, T. (2019). Partial range of motion exercise is effective for facilitating muscle hypertrophy and function through sustained intramuscular hypoxia in young trained men. The Journal of Strength & Conditioning Research, 33(5), 1286-1294.
Kassiano, W., Costa, B., Nunes, J. P., Ribeiro, A. S., Schoenfeld, B. J., & Cyrino, E. S. (2022). Partial range of motion and muscle hypertrophy: Not all ROMs lead to Rome. Scand J Med Sci Sports, 32, 632-633.
Kojic, F., Ranisavljev, I., Obradovic, M., Mandic, D., Pelemis, V., Paloc, M., & Duric, S. (2022). Does Back Squat Exercise Lead to Regional Hypertrophy among Quadriceps Femoris Muscles? International Journal of Environmental Research and Public Health, 19(23), 16226.
Kooistra, R., De Ruiter, C., & De Haan, A. (2008). Knee angle-dependent oxygen consumption of human quadriceps muscles during maximal voluntary and electrically evoked contractions. European journal of applied physiology, 102, 233-242.
Kubo, K., Ikebukuro, T., & Yata, H. (2019). Effects of squat training with different depths on lower limb muscle volumes. European journal of applied physiology, 119(9), 1933-1942.
Larsen, S., Kristiansen, B. S., Swinton, P. A., Wolf, M., Fredriksen, A. B., Falch, H. N., van den Tillaar, R., & Sandberg, N. Ø. The effects of hip flexion angle on quadriceps femoris muscle hypertrophy in the leg extension exercise.
McMahon, G., Morse, C. I., Burden, A., Winwood, K., & Onambélé, G. L. (2014). Muscular adaptations and insulin‐like growth factor‐1 responses to resistance training are stretch‐mediated. Muscle & nerve, 49(1), 108-119.
Mitsuya, H., Nakazato, K., Hakkaku, T., & Okada, T. (2023). Hip flexion angle affects longitudinal muscle activity of the rectus femoris in leg extension exercise. European journal of applied physiology, 123(6), 1299-1309.
Ottinger, C. R., Sharp, M. H., Stefan, M. W., Gheith, R. H., de la Espriella, F., & Wilson, J. M. (2023). Muscle hypertrophy response to range of motion in strength training: a novel approach to understanding the findings. Strength and Conditioning Journal, 45(2), 162-176.
Pedrosa, G. F., Lima, F. V., Schoenfeld, B. J., Lacerda, L. T., Simões, M. G., Pereira, M. R., Diniz, R. C., & Chagas, M. H. (2022). Partial range of motion training elicits favorable improvements in muscular adaptations when carried out at long muscle lengths. European journal of sport science, 22(8), 1250-1260.
Schoenfeld. (2010). The mechanisms of muscle hypertrophy and their application to resistance training. The Journal of Strength & Conditioning Research, 24(10), 2857-2872.
Wackerhage, H., Schoenfeld, B. J., Hamilton, D. L., Lehti, M., & Hulmi, J. J. (2019). Stimuli and sensors that initiate skeletal muscle hypertrophy following resistance exercise. Journal of applied physiology.
Wakahara, T., Ema, R., Miyamoto, N., & Kawakami, Y. (2017). Inter‐and intramuscular differences in training‐induced hypertrophy of the quadriceps femoris: association with muscle activation during the first training session. Clinical physiology and functional imaging, 37(4), 405-412.
Wakahara, T., Fukutani, A., Kawakami, Y., & Yanai, T. (2013). Nonuniform muscle hypertrophy: its relation to muscle activation in training session. Medicine & Science in Sports & Exercise, 45(11), 2158-2165.
Wolf, M., Androulakis-Korakakis, P., Fisher, J., Schoenfeld, B., & Steele, J. (2023). Partial vs full range of motion resistance training: A systematic review and meta-analysis. International Journal of Strength and Conditioning, 3(1).
Zabaleta-Korta, A., Fernández-Peña, E., Torres-Unda, J., Garbisu-Hualde, A., & Santos-Concejero, J. (2021). The role of exercise selection in regional Muscle Hypertrophy: A randomized controlled trial. Journal of sports sciences, 39(20), 2298-2304.