Nøkkelpunkter
- 9 menn og 9 kvinner utførte 4 varianter av 3-RM knebøy. 1) Høy stangplassering med smal fotplassering. 2) Høy stangplassering med bred fotplassering. 3) Lav stangplassering med smal fotplassering. 4) Lav stangplassering med bred fotplassering. Fotplassering var standardisert til 0,7 og 1,7 ganger skulderbredde. Variabler som ble målt var stangkinematikk, leddvinkler, elektromyografiaktivering på 12 muskler, bakkereaksjonskraft, og leddbelastninger (dreiemomenter) på hofte, kne og ankelledd.
- Hoftedreiemoment (hoftebelastning) var mellom 46-51%, noe som betyr at knebøy er en hoftedominant bevegelse uavhengig av knebøyvariant.
- Høy stangplassering med smal fotplassering førte til 1) størst knefleksjon og 2) størst prosentvis knedreiemoment. Dermed er dette den mest knedominante varianten.
- Fotplassering hadde større påvirkning på det prosentvise hoftedreiemomentet enn stangplassering grunnet frontaplansmomenter (forklart i artikkelen). Hvor lav stangplassering med bred fotplassering var den mest hoftedominante knebøyvarianten.
- Deltakerne løftet mer med smal fotplassering enn bred fotplassering. Dette skyldtes trolig at rundt 20-30% av total kraftproduksjon ble produsert ut mot siden for de brede fotplasseringene, men kun 10-15% for de smale fotplasseringene. Merk at dette gjelder for veldig bred fotplassering, som benyttet i studien.
Introduksjon
En høy stangplassering i knebøy kjennetegnes ofte med en smal fotplassering og at stangen ligger høyt oppe på nakkemuskulaturen. Tanken bak utførelse er ofte å holde en oppreist posisjon for å gjøre bevegelsen mest mulig knedominant. Med knedominant menes det at, 1) dreiemomentet blir stort på kneet, og 2) at man tar ut en stor bevegelse i kneet slik at muskulaturen på fremside lår belastes. En lav stangplassering kjennetegnes ofte med en bredere fotbredde og at stangen ligger lavere på ryggen. Siden tyngdekraften fra stangen kommer lengre bak må løfteren bøye seg mer frem for å få den samlede tyngdekraften over foten. En lav stangplassering blir ofte kategorisert som en mer hoftdominant knebøyvariant siden man har sett at dreiemomentet blir større på hoften (2)
Dreiemomenter bestemmes av to variabler. Kraft og momentarmer (Se figur 1). Kraft = masse (kg) * akselerasjon. Rød pil på figurene kalles for bakkereaksjonskraften og er kraften av interesse i en knebøy. Bakkereaksjonskraften er like stor som alle muskelkreftene en person skaper og tyngdekraften. Korteste distanse fra bakkereaksjonskraften til leddene kalles for momentarmer og vises med grønn pil på figurene. Momentarm * kraft = dreiemoment. Dreiemoment er dermed den belastningen som skaper en nedoverrotasjon på leddene dine og som må motvirkes med muskelkraft. Større dreiemoment på kne betyr at kneekstensorene må jobbe hardere. Større dreiemoment på hofte betyr at hofteekstensorene må jobbe hardere.

Figur 1. Viser typisk eksempel av momentarmer (grønn strek) i nederste del av løftet og rundt sticking point med en høy og lav stangplassering i øvelsen knebøy. Rød pil er bakkereaksjonskraften, som er den totale motkraften til tyndekraften og muskelkreftene som blir produsert av personen som utfører knebøyen.
Flere studier har undersøkt forskjellen mellom en høy og lav stangplassering på dreiemomenter og elektromyografi (EMG)-aktivering (kilder). Utfordringen med studiene er at lav stangplassering ofte blir utført med en bredere fotbredde, derfor vet man ikke hvilke biomekaniske forskjeller som skyldes fotbredde og hvilke som skyldes stangplassering. Derfor er hensikten med denne månedens artikkel å gå gjennom egen forskning hvor vi undersøkte effektene på både fotbredde og stangplassering på EMG-aktivering, leddvinkler, og dreiemomenter (5).
Metode
9 menn og 9 kvinner deltok i studien. De møtte på 4 tilvenninger og en testdag. De smale fotplasseringene ble utført med 0,7 ganger skulderbredde, og de brede fotplasseringene med 1,7 ganger skulderbredde.
Dette førte til fire knebøyvarianter som ble testet.
1) Høy stangplassering med smal fotplassering (HBNS)
2) Høy stangplassering med bred fotplassering (HBWS)
3) Lav stangplassering med smal fotplassering (LBNS)
4) Lav stangplassering med bred fotplassering (LBWS)
På testdag ble EMG-elektroder og markører festet på deltakerne for å spore EMG-aktivering og bevegelsene. Knebøydybde for godkjent løft måtte være godkjent etter IPF-krav, hvor toppen av hoften måtte være under knærne.
Den konsentriske fasen ble delt opp i tre ulike regioner (Figur 2). Hvor nederste del av løftet kalles for pre-sticking-regionen og går fra v0 (laveste del av løftet) til vmax1 (første maksimale stanghastighet), sticking-regionen som går fra vmax1 til vmin(vmin er laveste stanghastighet), og post-sticking-regionen, som går fra vmin til vmax2 (andre maksimale stanghastighet). I tillegg ble punktet hvor akselerasjonstapet var størst analysert (dmax1), fordi kraft = masse * akselerasjon, og dmax1 ifølge Newtons 2 lov da vil være der løfteren er svakest.
Studien rapporterte mange ulike variabler. Artikkelen her kommer til å ta for seg leddvinkler, krefter og dreiemomenter.

Figur 2. Viser de ulike regionene i en maksimal knebøy basert på hastighetskurven. Y-akse viser hastighet, x-akse viser tid. Figur hentet fra Saeterbakken et al., (7)
Hovedfunn
Kg løftet
Funn 1) Deltakerne løftet mest i LBNS etterfulgt av HBNS, LBWS, og HBWS. Se tabell 1 for mer informasjon.
Tabell 1. Gjennomsnitt ± standardavvik i kg løftet for deltakerne ved de ulike teknikkene i 3-RM-knebøy.
|
Variant |
Samlet (kg) |
Menn (kg) |
Kvinner (kg) |
|
HBNS |
93.9±28.1 |
118±9.8 |
71.3±20.4 |
|
HBWS |
89.8±28.6 |
114.5±11.8 |
67.2±16.5 |
|
LBNS |
98.9±30.7 |
125.4±11.1 |
76.4±20.3 |
|
LBWS |
92.7±29.9 |
119.1±13.6 |
70.4±16.90 |
Leddvinkler
Funn 1): Mer foroverbøyd overkropp med lav stangplassering sammenlignet med høy stangplasserine frem til vmax2 hvor overkroppsvinkler var lik.
Funn 2) Større knefleksjon i v0 for de smale fotplasseringene sammenlignet med de brede fotplasseringene
Tabell 2. Gjennomsnitt og standardavvik i vinkler for overkropp, hofteledd og kneledd i den konsentriske fasen i knebøy.
|
Event |
Variant |
Torso (°) |
Hoftefleksjon (°) |
Knefleksjon (°) |
|
|
v0 |
HBNS |
46.7±2.9 |
111±7.2 |
126.4±4.7 |
|
|
HBWS |
46.0±3.4 |
110.4±4.5 |
119.3±6.4 |
|
|
|
LBNS |
56.7±2.5 |
110.5±6.6 |
122.7±5.0 |
|
|
|
LBWS |
53.0±4.4 |
111.9±4.8 |
120.3±5.8 |
|
|
|
vmax1 |
HBNS |
51.0±3.6 |
106.8±6.0 |
114.7±5.4 |
|
|
HBWS |
48.4±2.8 |
108.7±4.8 |
111.1±5.6 |
|
|
|
LBNS |
61.0±2.6 |
107.1±6.6 |
111.9±6.2 |
|
|
|
LBWS |
57.4±5.2 |
108.3±6.1 |
108.8±5.3 |
|
|
|
dmax1 |
HBNS |
53.2±2.8 |
100.5±9.9 |
99.9±9.2 |
|
|
HBWS |
52.3±3.1 |
102.5±7.2 |
96.1±8.7 |
|
|
|
LBNS |
63.5±3.2 |
100.2±9.6 |
95.6±9.9 |
|
|
|
LBWS |
60.7±4.8 |
102.1±9.1 |
95.5±6.5 |
|
|
|
vmin |
HBNS |
54.5±3.2 |
92.5±9.1 |
88.1±8.1 |
|
|
HBWS |
52.3±4.9 |
96.1±8.7 |
86.9±8.7 |
|
|
|
LBNS |
63.3±5.0 |
94.1±10.2 |
84.9±5.6 |
|
|
|
LBWS |
62.6±7.4 |
96.2±10.1 |
82.6±4.9 |
|
|
|
vmax2 |
HBNS |
31.3±3.2 |
46.5±10.0 |
50.2±5.7 |
|
|
HBWS |
28.6±4.4 |
48.7±7.2 |
50.1±6.6 |
|
|
|
LBNS |
41.5±4.9 |
52.1±9.5 |
48.3±6.7 |
|
|
|
LBWS |
39.3±4.5 |
53.5±7.9 |
47.0±6.5 |
|
Notat: Torso = overkroppsvinkel.
Krefter
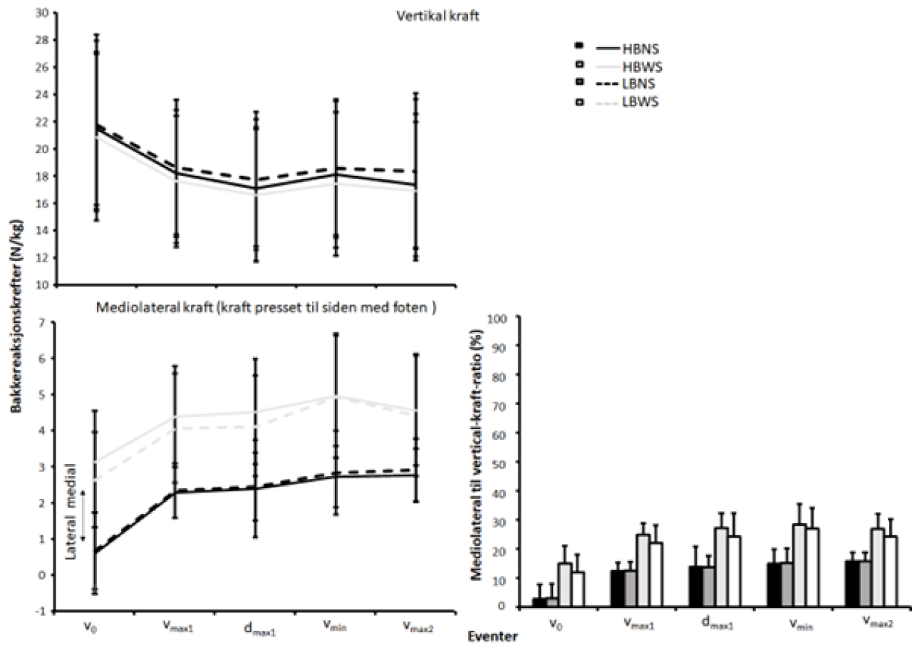
Funn 1) Bakkereaksjonskraften var minst i dmax1 (Figur 3), som viser at dmax1 (hvor akselerasjonstapet er størst) burde benevnes som sticking point, og ikke der hastigheten er lavest.
Funn 2) Bakkereaksjonskraften var størst for de variantene man løftet mest med som er logisk fordi bakkereaksjonskraften er motkraften til tyngdekraften fra kroppen og stanga.
Funn 3) De brede bøyvariantene førte til at ca 20-30 % av kraftproduksjon ble skapt til siden og ikke vertikalt. Noe som trolig bidro til at man løftet mindre med de brede fotplasseringene sammenlignet med de smalere.

Figur 3: Viser vertikal kraft øverst, mediolateral kraft nederst til venstre, og ratioen mellom vertikal og mediolateral kraft nederst til høyre.
Dreiemomenter
Funn 1) Siden dreiemoment = kraft * momentarm, og kraften påvirkes av kg løfter er kun prosentvis dreiemoment presentert og kalkulert her (Figur 4). Dreiemomenter er tatt ut fra bunnposisjonen siden den er tyngst og det er der musklene er satt på mest strekk (Figur 4).
Funn 2) Lav stangplassering gjorde kun knebøyen 1-2 % mer hoftedominant. Å endre fra smal til bred fotplassering gjorde knebøyen 3-4% mer hoftedominant.
Funn 3) HBNS gjorde knebøyen 3-4% mer knedominant enn de andre bevegelsene.

Figur 4. Viser prosentvise dreiemomenter for hofte-, kne- og ankelledd i v0 (bunnposisjon) for de 4 ulike knebøyvariantene i siste repetisjon av 3-RM-knebøy.
Diskusjon
Hovedfunnene i studien var: 1) Man løftet mer med de smale fotplasseringene enn de brede, men man løftet mer med lav stangplassering sammenlignet med de høye ved bruk av lik fotplassering 2) HBNS førte til størst knefleksjon og at det prosentvise dreiemomentet ble rundt 3-4% større sammenlignet med de andre knebøy-variantene[1] [2] . 3) Knebøy er en hoftedominant øvelse uavhengig av teknikk. 4) At overkroppen ble mer foroverbøyd ved bruk av lav stangplassering. 5) At de brede fotplasseringene førte til at 20-30% total kraftproduksjon ble skapt til siden. 6) At dmax1 burde benevnes som sticking point og ikke vmin.
Leddvinkler
At HBNS førte til størst knefleksjon skyldtes trolig at 1) deltakerne sto smalt som gjorde at mer av bevegelsen ble utført i sagittalplanet (planet hvor fleksjon og ekstensjon skjer), og 2) at stangen lå høyere opp på ryggen, som gjør knefleksjon lettere. I tillegg, førte de smale fotplasseringene til høyere EMG-aktivering på vastus lateralis sammenlignet med de brede, og øvelsen ble rundt 3-4% mer knedominant. Funnene samlet sett forklarer hvorfor HBNS regnes som den mest knedominante knebøyvarianten siden prosentvis dreiemoment og knefleksjon er størst. Som jeg i artikkelen her diskuterte skal man være forsiktige med å dra konklusjoner basert på akutte studier til langtidsadaptasjoner som muskelvekst. Og min gjetning er at HBNS ikke nødvendigvis vil gi mer muskelvekst i fremside lår enn de andre variantene. Bakgrunnen for min skepsis til dette er at en knebøystudie hvor man sammenlignet trening med ulike knebøydybder ikke fant forskjell mellom 90- og 140 grader knefleksjon på fremside lår-muskulatur (3). Det spekuleres i fra meg at dette skyldes at mesteparten av fremside lår-muskulaturen jobber på den synkende delen av lengdespenningskurven (1), og opplever en meningsfull strekk på sarkomerene ganske tidlig i knefleksjonen som vil føre til strekkmediert muskelvekst[3] [4] . Det er greit å påpeke at dette trolig gjelder knebøy og at studier i øvelser som leg extension har rapportert mer muskelvekst i fremside lår ved større knefleksjon (6).
Krefter og dreiemomenter
Vertikal kraftproduksjon var minst i dmax1 (der akselerasjonstapet er størst). Dette stemmer med Newtons 2. bevegelseslov (Kraft = masse * akselerasjon). Tradisjonelle studier har ofte benevnt vmin (der hastigheten er lavest som sticking point, men dette er ikke logisk siden akselerasjonen i vmin er 0. Mens den i dmax1 er negativ siden løfteren taper hastighet her. Vi fant at overkroppsvinkelen økte i dmax1 og vmin som førte til større hoftemoment i sticking point og sticking-regionen. Noe som tyder på at hoftebelastning er begrensede faktor uavhengig av knebøyvariant.
Videre så vi at deltakerne løftet mindre kg med bred fotplassering enn smal. Noe som trolig skyldtes at rundt 20-30 % av kraftproduksjon ble produsert til siden og dermed mindre effektiv vertikal kraftproduksjon. Dette kan man ses på som en energilekkasje og vil trolig i de fleste tilfeller være lite effektivt om målet er å løfte tyngst mulig. Likevel er det viktig å merke seg at dette gjelder 1,7 ganger skulderbredde, noe som er veldig bredt. I en annen studie som sammenlignet ulike fotplasseringer fant de ingen forskjeller i kg løftet mellom 1,0 og 1,5 ganger hoftebredde (4). Derfor er mitt forslag at man burde prøve seg frem for å finne ut hva som føles naturlig uavhengig av funn i studien her.
Det kanskje mest interessante funnet i studien var at stangplassering hadde lite påvirkning på de prosentvise dreiemomentene (Figur 4). Men at fotplassering hadde større påvirkning. Dette skyldes trolig momentarmene som kan analyseres i frontalplanet (Se figur 5). På enkel norsk: avstand fra kraftlinjen til hofteleddet blir større når du analyserer øvelsen forfra. Dermed vil en lav stangplassering være tilnærmet like hoftedominant som en høy stangplassering, men når du står bredere vil øvelsen bli mer hoftedominant uavhengig om du har en høy eller lav stangplassering. Når bakkereaksjonskraften (rød pil) krysser hofteleddet lateralt som på figur 5 viser vil det skapes et hofteabduksjonsmoment, som må motvirkes med et hofteadduksjonsmoment. Dette vil trolig øke belastningen på adduktormusklene og adduktordelen av setemuslelen (nedre fibre).

Figur 5. Viser hoftemomentarmer (grønn strek) og bakkereaksjonskrafter (rød pil) i frontalplanet (sett forfra).
Konklusjon og praktisk betydning
HBNS fører til størst knefleksjon og dreiemoment på kne. Dermed om du ønsker å gjøre knebøyen mest mulig knedominant burde du velge denne varianten. Hoftemomentet ser ut til å bli påvirket i større grad av fotplassering enn stangplassering, hvor LBWS er den mest hoftedominante varianten. Dermed om du ønsker å gjøre øvelsen mest mulig hoftedominant burde denne varianten velges. Likevel gjelder dette for fotplasseringer på 0,7 og 1,7 ganger skulderbredde, og man skal være forsiktig med å generalisere disse funnene til andre fotplasseringsbredder.
Referanseliste
1. Cutts A. The range of sarcomere lengths in the muscles of the human lower limb. Journal of anatomy 160: 79, 1988.
2. Glassbrook DJ, Helms ER, Brown SR, and Storey AGJ. A review of the biomechanical differences between the high-bar and low-bar back-squat. The Journal of Strength Conditioning Research 31: 2618-2634, 2017.
3. Kubo K, Ikebukuro T, and Yata H. Effects of squat training with different depths on lower limb muscle volumes. European journal of applied physiology 119: 1933-1942, 2019.
4. Lahti J, Hegyi A, Vigotsky AD, and Ahtiainen JP. Effects of barbell back squat stance width on sagittal and frontal hip and knee kinetics. Scandinavian Journal of Medicine Science in Sports 29: 44-54, 2019.
5. Larsen S, Kristiansen E, Helms E, and van den Tillaar R. Effects of Stance Width and Barbell Placement on Kinematics, Kinetics, and Myoelectric Activity in Back Squats. Frontiers in Sports Active Living: 239, 2021.
6. Pedrosa GF, Lima FV, Schoenfeld BJ, Lacerda LT, Simões MG, Pereira MR, Diniz RC, and Chagas MH. Partial range of motion training elicits favorable improvements in muscular adaptations when carried out at long muscle lengths. European Journal of Sport Science 22: 1250-1260, 2022.
7. Saeterbakken AH, Andersen V, van den Tillaar R, Joly F, Stien N, Pedersen H, Shaw MP, and Solstad TEJ. The effects of ten weeks resistance training on sticking region in chest-press exercises. J Plos one 15: e0235555, 2020.