Studie analysert: Enes & De Souza (2023). Effects of different weekly set progressions on muscular adaptations in trained males: Is there a dose-response effect?
Nøkkelpunkter
- 37 styrketrente menn ble randomisert i en av tre treningsgrupper som trente knebøy, 45 graders benpress, og leg extension. Gruppe 1 trente med 22 ukentlige sett gjennom 12 uker. Gruppe 2 startet med 22 ukentlige sett, men økte 4 sett hver andre uke, til de endte med 42 sett i de to siste ukene. Gruppe tre trente også med 22 ukentlige sett og økte 6 sett hver andre uke til de endte med 52 sett i de to siste ukene.
- Alle sett ble utført til ca 2 repetisjoner i reserve fra teknisk utmattelse. 1RM repetisjonsmaksimum ble målt i knebøy før og etter studien. I tillegg ble muskelvekst målt på fremside lår-muskelen vastus lateralis.
- Etter studien rapporterte forskerne at deltakerne som økte i antall sett økte mer i 1RM-knebøy sammenlignet med gruppen som trente 22 ukentlige sett gjennom hele treningsperioden. For muskelvekst på vastus lateralis, var det ingen signifikante forskjeller mellom gruppene.
- Siden repetisjoner i reserve virker å ikke være skikkelig standardisert i studien er det utfordrende å konkludere med at resultatene skyldes antall sett deltakerne trente med, siden man ikke vet hvordan intensiteten påvirket resultatene. Videre forskning trengs på området med en ordentlig standardisering av intensitet.
Introduksjon
Treningsvolum kan defineres på ulike måter. En praktisk måte er antall harde sett, men hva et hardt sett er definert som, varierer. I forskningslitteraturen har flere studier fokuser på om det er et dose-respons-forhold mellom treningsvolum via antall sett, og muskulært tilpasninger, som muskelvekst 1-4. De tidligere studiene har brukt ulike sett-volum, som har variert fra 3-45 sett per uke per muskelgruppe. Resultatene fra studiene1-4, er varierte. Eksempelvis har to av studiene sammenlignet et lavere treningsvolum (12 ukentlige sett), med et mer moderat (12-20 ukentlige sett) og høyere treningsvolum (>20 ukentlige sett), og rapportert mer muskelvekst med et høyere treningsvolum sammenlignet med et lavere treningsvolum, men ingen forskjeller mellom et moderat og høyt treningsvolum2.4.
Videre rapporterte en nyere studie at forskningsdeltakernes tidligere treningsvolum påvirket muskelveksten deltakerne får i en treningsprotokoll3. Eksempelvis utførte Scarpelli et al.3 en studie hvor erfarne styrketrente utført et individualisert treningsvolum basert på tidligere treningsvolum og økte det med 20%. Dette ble sammenlignet med et ikke-individualisert treningsvolum på gjennomsnitt 22 ukentlige sett. Forskerne observerte større vastus lateralis-muskelvekst i den individualiserte volum-gruppen, tross ingen signifikante forskjeller i treningsvolum mellom gruppene. Dette indikerer at en individualisert treningsvolum kan gi mer muskelvekst sammenlignet med en tilfeldig økning.
Når det kommer til dose-respons på sett-volum opp mot styrketilpasninger, er resultatene i litteraturen også spredt 5. Eksempelvis rapporterte Marshall et al.6 at 16 ukentlige sett var økte maksimal styrke i knebøy mer enn 2 ukentlige sett. Men de fant ingen signifikant forskjell mellom 8- og 16 ukentlige sett, som indikerte at 8 sett var nok for å maksimere maksimal styrke i knebøy. I tillegg mangler det lengre forskningsstudier hvor deltakerne øker antall sett som en progresjonsstrategi utover i treningsperioden5.
Nylig kom det ut en studie, som adresserte som hadde som hensikt å adressere alt det ovenfor 5 hos styrketrente menn. Derfor vil denne månedens utgave av AFPT+ gå gjennom denne studien. Studien rekrutterte 37 deltakere og randomiserte de inn i 3 grupper:
- Gruppe 1 (kontrollgruppe) gjennomførte 22 ukentlige sett i 12 uker.
- Gruppe 2 (4SG) startet med 22 ukentlige og økte annenhver uke med 4 sett til de avsluttet med 42 sett i uke 12.
- Gruppe 3 (6SG) startet med 22 ukentlige og økte annenhver uke med 4 sett til de avsluttet med 52 sett i uke 12.
- Hensikten med studien: Å undersøke effekten av et fiksert antall sett sammenlignet med 2 ulike settprogresjoner på maksimal styrke i knebøy og muskelvekst i fremside lår (vastus lateralis) hos styrketrente menn.
Hypotesen til forskerne: Et gradert dose-respons-forhold med progressivt settvolum og muskelvekst. Dette var hva forskerne skrev, noe som er utfordrende å tolke.
Metode
Overordnet om treningen
For å redusere potensiell påvirkning tidligere treningsvolum kunne ha på resultatene ble en to-ukers volumreduksjons-periode utført, hvor deltakerne reduserte antall sett på underkroppen med 40 % i uke 1 og 40 % i uke 2. Deretter ble en adaptasjonsfase gjennomført hvor treningsvolum økte med 4 sett.
Treningsvarighet var i 12 uker, hvor kontrollgruppe utførte 22 sett på fremside lår hver uke, mens 4SG og 6SG økte 4 og 6 sett hver andre uke til de avsluttet på 42 og 52 ukentlige sett på fremside lår. Deltakerne trente 2 ganger i uken med ca 2 repetisjoner i reserve (RIR) fra teknisk utmattelse. På det siste settet i hver øvelse ble deltakerne bedt om å utføre settet til teknisk utmattelse. Pausetid mellom sett var 2 minutter. Øvelser de trente var knebøy, 45 graders benpress og leg extension. På økt 1 trente deltakerne i repetisjonsrange 6-8, mens på økt 2 trente de i repetisjonsrange 10-12. Deltakerne trente også 2 ukentlige sett med rumenske markløft og lårcurl, men treningsvolum her ble holdt konstant siden
Målinger
Før og etter studien ble 1RM målt i øvelsen knebøy. I tillegg ble ultralyd benyttet for å estimere muskeltversnitt og muskeltykkelse i vastus lateralis. Forskerne gjorde også analyser av energiinntak hver 6. uke. Kun 1-RM målingene i knebøy og muskeltverrsnittmålingene for vastus lateralis vil bli redegjort og diskutert i denne artikkelen.
Hovedfunn
-
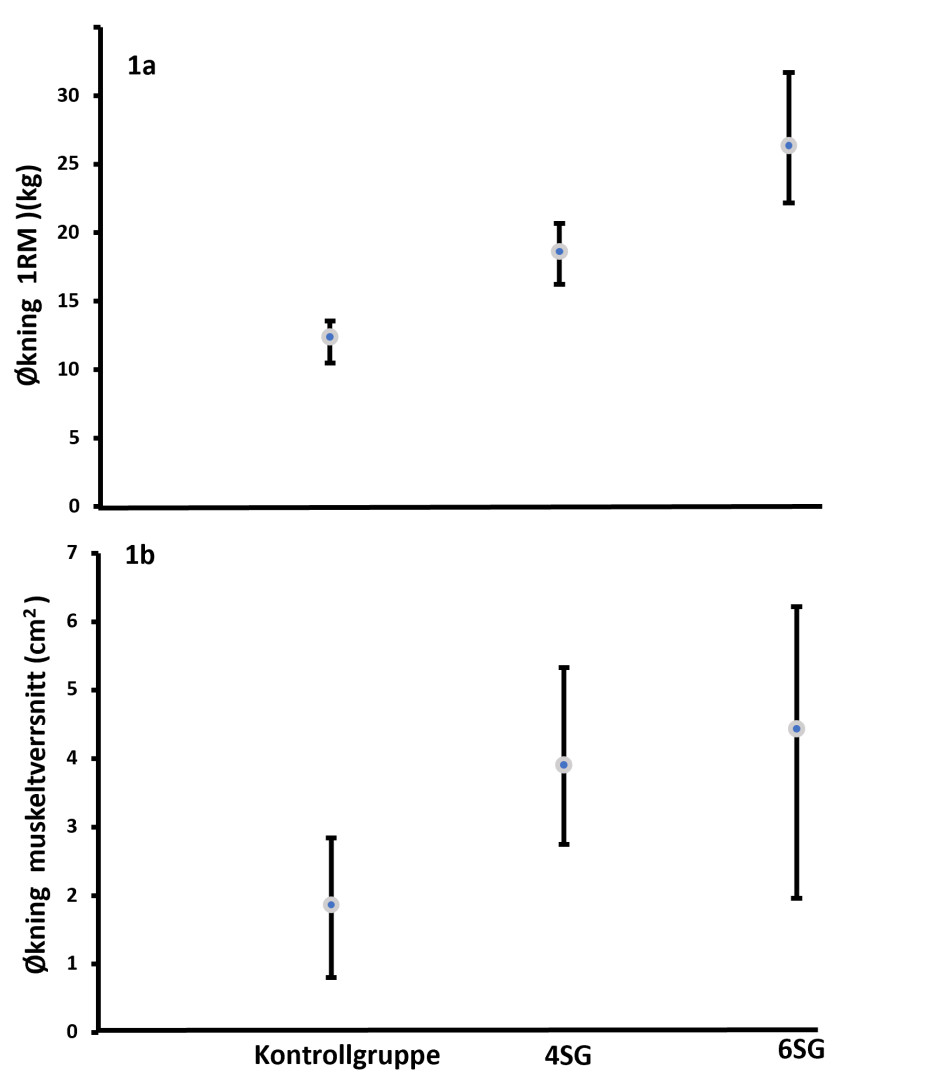
Alle gruppene økte signifikant fra pre-test til post-test i 1RM i knebøy. 4SG og 6SG-gruppene økte mer i 1RM sammenlignet med kontrollgruppen. Og 6SG-gruppen økte mer i 1-RM sammenlignet med 4SG-gruppen. (Figur 1a)
-
Alle gruppene økte signifikant i muskeltverrsnitt fra pre-test til post-test. Det ble ikke rapportert noen signifikante forskjeller mellom gruppene i muskeltverrsnitt. Forskerne utførte derfor visuelle analyser av 95 % konfidensintervaller, som de hevdet ga små indiksjoner for at et økt treningsvolum kunne gi økt muskelvekst (Figur 1b).
-medium.jpg)
Figur 1. 1a viser gjennomsnittlig og 95 % konfidensintervallers økning i knebøy-1RM etter 12 ukers trening. 1b viser gjennomsnittlig og 95 % konfidensintervallers økning i muskeltverrsnitt på vastus lateralis etter 12 ukers trening. Kontrollgruppe = kontinuerlig 22 sett gjennom hele treningsperioden. 4SG = 4 sett økning i treningsvolum hver 2 uke. 6SG = 6 sett økning i treningsvolum hver 2 uke. 95 % konfidensintervaller er estimeringer for hvor det sanne populasjonsgjennomsnittet ligger med 95 % sannsynlighet. Nedre del av konfidensintervallet er nedre del av estimeringen, mens øvre del er øvre del av estimeringen.
Diskusjon
Dette er til min kjennskap den første studien som undersøker effektene av å øke antall sett vs. å utføre et konstant treningsvolum på muskelvekst og 1RM knebøystyrke hos styrketrente menn. Dette er også den studien med det største settvolumet (52 sett de to siste ukene av treningsstudien for 6SG) som er undersøkt i litteraturen, til både min og forfatterne av studien sin kjennskap. Hovedfunnet var at å øke antall sett gradvis økte den maksimale styrken i knebøy mer enn et konstant settvolum. Samtidig observerte de ikke en signifikant forskjell mellom studiene i muskelvekst mellom gruppene.
Maksimal styrke
Knebøy-1RM økte i snitt med 18,5 kg, som var en progresjon på 13,6 % fra pre-test. Gjennomsnittsdifferansen i knebøy-1RM var 11,7 kg, 18,15 kg, og 25,95 kg i kontroll-, 4SG-, og 6SG-gruppen. Det er til min kjennskap varierte resultater i litteraturen, om et høyere, lavere eller moderat settvolum er hensiktsmessig for maksimal styrke4,6-8. Mens denne studien rapporterte at økt settvolum ga mer styrkeprogresjon, har andre studier ikke klart å avdekke en signifikant forskjell6, og det er eksempelvis rapportert blant erfarne styrkeløftere at 2 knebøysett i uken på ca RIR1 øker 1RM-styrken meningsfullt8. Dette kan potensielt skyldes mange faktorer, som eksempelvis ulik antropometri og kjønn hos deltakerne9,10, treningsvarighet på studiene2,4,6, og ikke minst intensitet brukt på settene. Som Benjamin diskuterer her finnes det ulike definisjoner av utmattelse. Hvor momentan utmattelse er når person feiler i løftefasen grunnet mangel på kraftproduksjon.
I studien analysert5 benyttet de 2 RIR fra teknisk utmattelse. Teknisk utmattelse er en subjektiv tolkning av egen teknikk og forskerne i studien definerte det som «umulighet til å utføre en ekstra konsentrisk bevegelse samtidig som man opprettholder riktig teknikk eller en frivillig avslutning av settet». Dette gjør det utfordrende å vite hvilken eksakt RIR fra momentan utmattelse deltakerne i studien trente på. Eksempelvis, er flerleddsøvelser som knebøy en sammensatt øvelse, hvor det er observert at overkroppen ofte blir foroverbøyd når intensiteten øker11. Om dette var deltakerne sitt krav for teknisk utmattelse er det rimelig å anta at de trente på alt fra 8-2 i RIR. Dette er dessverre en stor svakhet i studien, som gjør at vi ikke kan vite om det er variasjon i intensitet (RIR) eller antall sett som forklarer resultatene. Derfor, selv om jeg anerkjenner at forfatterne har gjort en omfattende jobb med studien, er det utfordrende å trekke årsakvirknings-konklusjoner når det kommer til settvolum og maksimale styrke- eller muskelvekstøkninger.
Muskelvekst
Forskerne observerte ingen signifikante forskjeller i muskelvekst mellom gruppene. Dette tror jeg i stor grad skyldtes at de utførte power-analysen på en uhensiktsmessig måte. En power-analyse hjelper med å bestemme hvor mange deltakere som trengs i en studie for å finne viktige forskjeller basert på tidligere forventninger om effektstørrelser og målevariasjon. Forskerne hevdet de trengte minimum 27 personer, men de baserte det på at de forventet en effekt på 0,25, som er veldig stor, noe som er uforventet og ikke baseres på tidligere litteratur. I tillegg var noen av input-variablene i analysen trolig feil. Når jeg gjennomførte power-analysen med mer forventedeforventete effektstørrelser og input-variabler resulterte det i at det var nødvendig med minimum 52 testdeltakere. Dette betyr at studien var under-powered,under-powret, som betyr at man må ha observert en stor og urealistisk effektstørrelse for å avdekke signifikante forskjeller mellom gruppene, noe nok deltakere kan ha motvirket.
Likevel førte treningen til muskelvekst for alle grupper, med en gjennomsnittsøkning på 3,3 cm2 eller 8,4% i muskeltverrsnitt på vastus lateralis. Selv om dette ikke var signifikant (som kan skyldes lav statistisk power), viste subanalysene på 95 % konfidensintervaller for kontroll-, 4SG-, og 6SG gruppene, 0,009-3,6 cm2, 2,0-5,5 cm2, og 2,4-5,8 cm2. 95 % konfidensintervaller er estimeringer for hvor det sanne populasjonsgjennomsnittet ligger med 95 % sannsynlighet. Nedre del av konfidensintervallet er nedre del av estimeringen, mens øvre del er øvre del av estimeringen. Når man gjorde statistikken enda grundigere og sammenlignet 95 % konfidensintervallene mellom kontrollgruppen og 6SG-gruppen fant de at estimeringen var -0,06 cm til 5,3 cm2. Dette betyr at om nedre del av estimeringen for det sanne populasjonsgjennomsnittet (-0,06) stemmer, vil man få mindre økning i muskeltverrsnitt for 6SG sammenlignet med kontrollgruppen. Dette gjelder for hele del av konfidensintervallet som er negativt (-0,6 til -0,01), mens den delen av konfidensintervallet som ligger på 0,01 til 5,3 cm2 er en estimering av at 6SG-gruppen i den sanne populasjonen oppnår mer muskelvekst. Siden majoriteten av konfidensintervallet var positiv, er det sannsynlig at man med 6 sett som settprogresjon annenhver uke hos styrketrente individer kan forvente mer økning i muskeltverrsnitt. Når de gjorde samme analyser mellom 4SG og 6SG ble 95% konfidensintervallet -2,6 cm2 til 3,2 cm2, som indikerte ingen forskjeller mellom gruppene.
Forfatterne foreslo at settprogresjon opp til et høyt settvolum potensielt gir mer muskelvekst, men at dette når et platå etter et visstvist ukjent settnummer. Personlig er jeg skeptisk til konklusjonen basert på funnene i studien siden: 1) det ikke var en signifikant forskjell mellom gruppene i muskelvekst, og 2) mangel på tydelig intensitetsstyring (2 RIR fra teknisk utmattelse). Dermed vil jeg basert på resultatene i studien her argumentere for at å utføre så høye treningsvolum som 42 og 52 ukentlige sett på ben ser ut å være unødvendig basert på dataene presentert i studien. I tillegg, var det kun underkroppstrening, som ble trent i studien, og når det kombineres med overkroppstrening, tror jeg 42- og 52- sett med trening for fremside lår kan bli i overkant for de fleste. Og derfor noe jeg ikke anbefaler når studien feilet i å avdekke signifikante forskjeller, og man samtidig ikke vet hvilken RIR deltakerne trente med. I tillegg, rapporterte forskerne at 4SG og 6SG brukte ca. dobbelt så lang tid på trening som kontrollgruppen. Dermed for personer som sliter med etterlevelse i treningen, tror jeg ikke det å gjennomføre en slik progresjonsstrategi med så mange sett vil være hensiktsmessig.
Konklusjon og praktisk betydning
Å øke 4 og 6 sett hver andre uke ga mer økning i 1RM-styrke i øvelsen knebøy sammenlignet med å holde et jevnt settvolum på 22 ukentlige sett fordelt på 2 styrketreningsøkter hos styrketrente menn når deltakerne trente med ca 2 repetisjoner i reserve fra teknisk utmattelse. Det ble ikke avdekket noen signifikante forskjeller i muskelvekst mellom noen av gruppene, som kan indikere at så høye treningsvolum som opp til 42 og 52 sett på slutten av en 12 ukers treningssyklus ikke er nødvendig. Siden RIR virker og ikke være skikkelig standardisert i studien er det utfordrende å konkludere at resultatene skyldes antall sett deltakerne trente med, siden man ikke vet hvordan intensiteten påvirket resultatene.
Referanseliste
1. Aube D, Wadhi T, Rauch J, et al. Progressive resistance training volume: Effects on muscle thickness, mass, and strength adaptations in resistance-trained individuals. Journal of Strength and Conditioning Research. 2022;36(3):600-607.
2. Schoenfeld BJ, Contreras B, Krieger J, et al. Resistance training volume enhances muscle hypertrophy but not strength in trained men. Medicine and science in sports and exercise. 2019;51(1):94.
3. Scarpelli MC, Nóbrega SR, Santanielo N, et al. Muscle hypertrophy response is affected by previous resistance training volume in trained individuals. Journal of strength and conditioning research. 2022;36(4):1153-1157.
4. Brigatto FA, de Medeiros Lima LE, Germano MD, Aoki MS, Braz TV, Lopes CR. High resistance-training volume enhances muscle thickness in resistance-trained men. The Journal of Strength & Conditioning Research. 2022;36(1):22-30.
5. Enes A, De Souza EO. Effects of different weekly set progressions on muscular adaptations in trained males: Is there a dose-response effect? . 2023;
6. Marshall PW, McEwen M, Robbins DW. Strength and neuromuscular adaptation following one, four, and eight sets of high intensity resistance exercise in trained males. European journal of applied physiology. 2011;111:3007-3016.
7. Androulakis-Korakakis P, Fisher JP, Steele J. The minimum effective training dose required to increase 1RM strength in resistance-trained men: a systematic review and meta-analysis. Sports Medicine. 2020;50(4):751-765.
8. Androulakis-Korakakis P, Michalopoulos N, Fisher JP, et al. The minimum effective training dose required for 1RM strength in powerlifters. Frontiers in sports and active living. 2021:248.
9. Kristiansen E, Larsen S, Haugen ME, Helms E, van den Tillaar R. A biomechanical comparison of the safety-bar, high-bar and low-bar squat around the sticking region among recreationally resistance-trained men and women. International Journal of Environmental Research and Public Health. 2021;18(16):8351.
10. Vigotsky AD, Bryanton MA, Nuckols G, et al. Biomechanical, anthropometric, and psychological determinants of barbell back squat strength. The Journal of Strength & Conditioning Research. 2019;33:S26-S35.
11. Larsen S, Kristiansen E, Nygaard Falch H, Estifanos Haugen M, Fimland MS, van den Tillaar R. Effects of barbell load on kinematics, kinetics, and myoelectric activity in back squats. Sports biomechanics. 2022:1-15.